www.bougeardg.fr/premiereSPE/Septembre

pythagore fractal tree

Navigation

dossier parent

Septembre

recherche des rectangles

connaissant leur aire et leur périmètre.

20250923_CorrecClasse.pdf, publié ou modifié le 25/09/2025 à 14:12:01.

Travail du 18 septembre - jour de grève

20250917_partie3-sommesRacines.pdf, publié ou modifié le 17/09/2025 à 12:33:09.

Correction de l'interrogation

20250916_cor.pdf, publié ou modifié le 16/09/2025 à 14:30:43.

Corrections du 16 septembre

20250916_cor40-50p75-76.pdf, publié ou modifié le 16/09/2025 à 11:32:47.

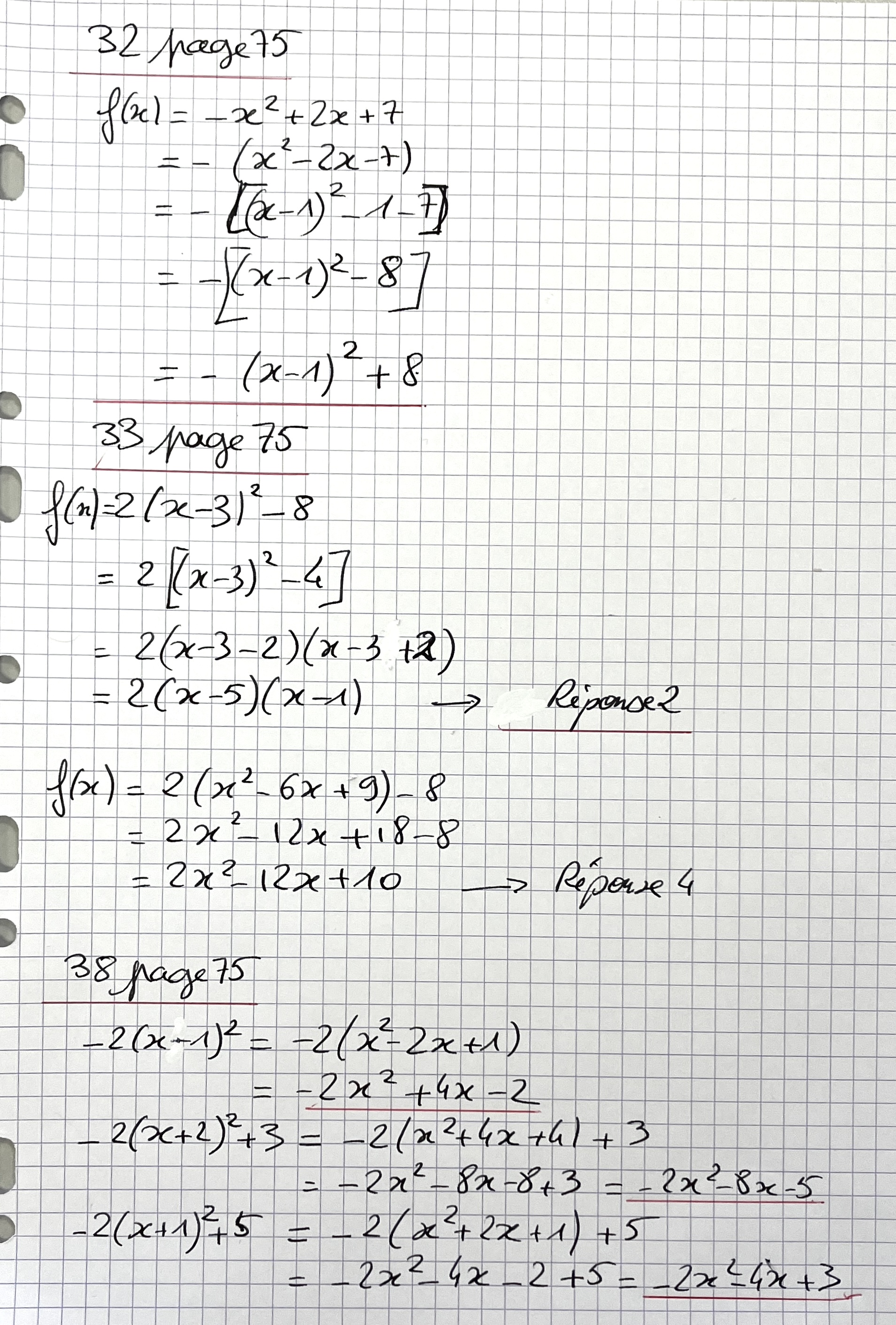
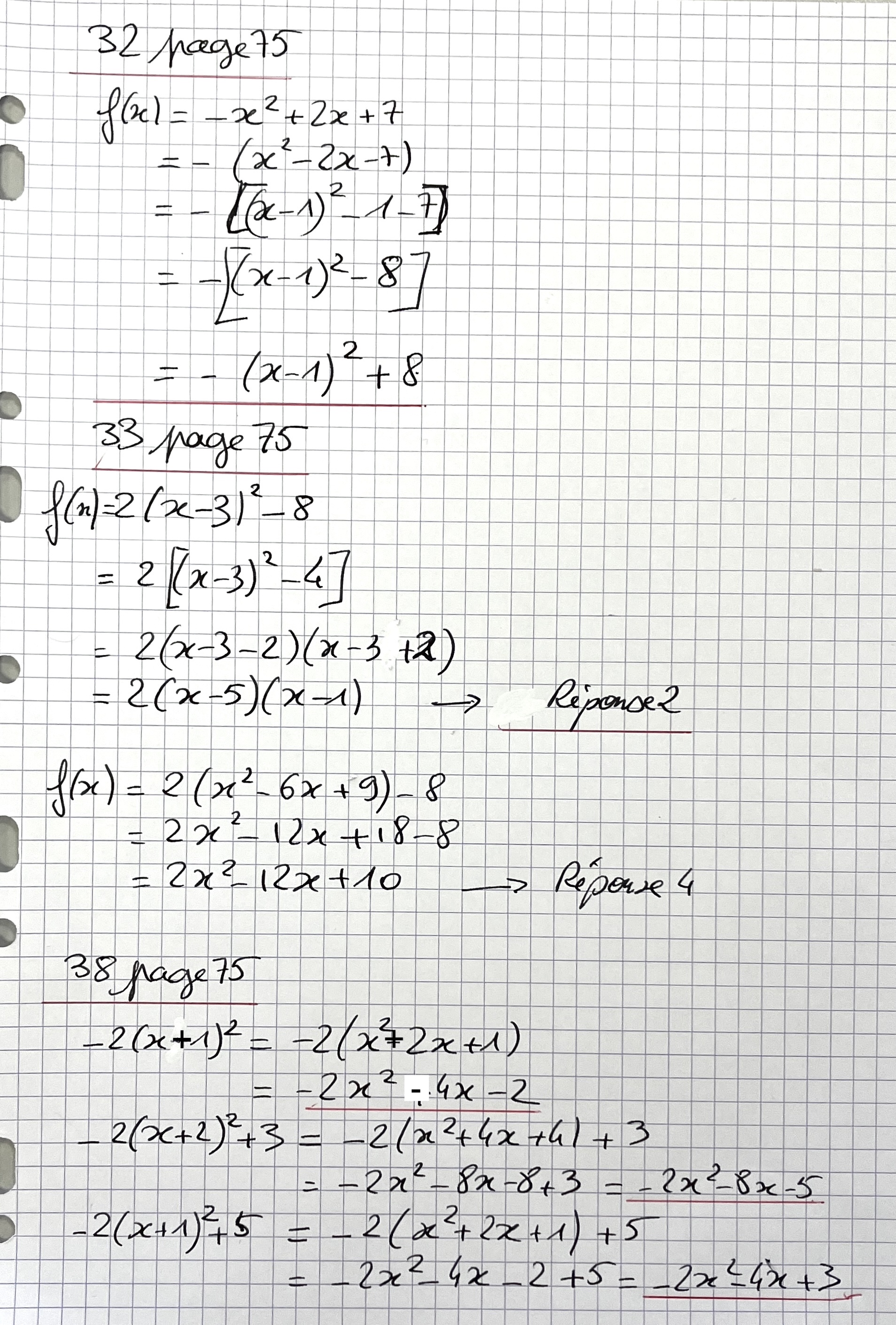
Corrections du 11 septembre

20250911_32-33-38p75.jpg, publié ou modifié le 15/09/2025 à 10:27:53.

20250911_32-33-38p75erreur.jpg, publié ou modifié le 11/09/2025 à 11:37:39.

activité rapide du 11 septembre

20250911_ar02_tabSign_calcfrac-light.pdf, publié ou modifié le 11/09/2025 à 11:27:32.