www.bougeardg.fr/seconde/Septembre

pythagore fractal tree

Navigation

dossier parent

Septembre

correction de l'interrogation du 22 septembre

20250926_cor.pdf, publié ou modifié le 26/09/2025 à 09:22:45.

20250922_COR-Ex5-6.pdf, publié ou modifié le 22/09/2025 à 14:55:04.

ar05-quadriFoncAff.pdf, publié ou modifié le 22/09/2025 à 10:17:34.

ar04_fractions_reduc.pdf, publié ou modifié le 22/09/2025 à 10:17:18.

ar03_fractions_reduc.pdf, publié ou modifié le 22/09/2025 à 10:17:13.

séance du 18 septembre : jour de grève

20250917_Travail_18_septembre.pdf, publié ou modifié le 17/09/2025 à 09:44:21.

Correction

de l'interrogation du 15 septembre

cor2de-ds1-20min-milieux-geom.pdf, publié ou modifié le 16/09/2025 à 08:56:22.

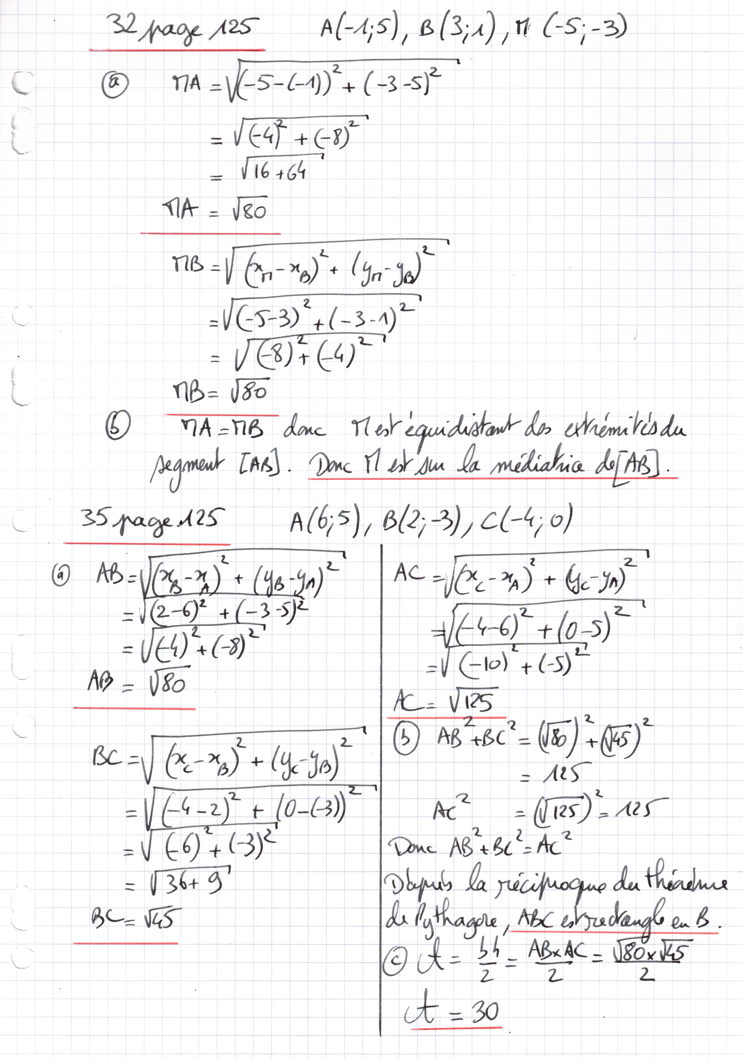
correction des exercices 32 et 35 page 125

20250915_32-35p125Cor.jpg, publié ou modifié le 15/09/2025 à 11:20:15.

activité rapide du 11 septembre

20250911_ar02_fractions_reduc.pdf, publié ou modifié le 11/09/2025 à 11:22:55.

Réponses de l'évaluation de calcul

On pourra remarquer que la rature dans la première page met en évidence une erreur temporaire du professeur !

20250911_correction.pdf, publié ou modifié le 11/09/2025 à 08:05:31.

Exercices du 8 septembre

20250909_18-19p146.pdf, publié ou modifié le 10/09/2025 à 10:39:20.

Diaporama du complément de cours de trigonométrie

20250904_Revision_trigonometrie.pdf, publié ou modifié le 04/09/2025 à 10:46:40.